수능 수학 기출문제를 풀 때 가장 고민되는 부분이 무엇인가요? 정답만 확인하고 넘어갔는데 막상 모의고사나 실제 수능에서 비슷한 문제가 또 틀어져 본 경험, 많은 학생들이 공통적으로 느끼는 어려움입니다. 실수를 점검하면서 반복학습이 가능한 자료를 만들었습니다.
수능 수학 공통과목부터 선택 과목인 확률과 통계, 미적분, 기하까지 홀수형 전 문항을 하나의 페이지에 담았고 편의를 위해 상단의 목차를 통해 바로 이동가능 하도록 했습니다.
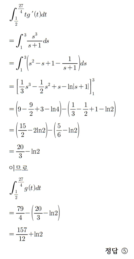
각 문항은 문제 이미지와 함께 배치되어 있으며, ‘풀이’ 버튼을 누르면 해설 이미지가 바로 펼쳐지는 구조로 구성해 학습 흐름이 끊기지 않도록 했습니다.
2026 수능 수학 기출문제 풀이를 통해 최신 출제 경향을 정확하게 파악하고, 정답만 확인하기 보다 막히는 부분이 어디인지 확인하고 고민하는 과정을 반복하는 것을 추천합니다.
목차
2026 수능 수학 기출문제 홀수형 (공통)
5지선다형

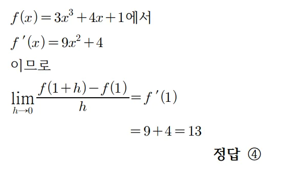
풀이


풀이


풀이


풀이



풀이


풀이



풀이


풀이


풀이



풀이



풀이



풀이
등비수열 ${a_n}$의 공비를 $r$이라 하자.


풀이



풀이



풀이



단답형

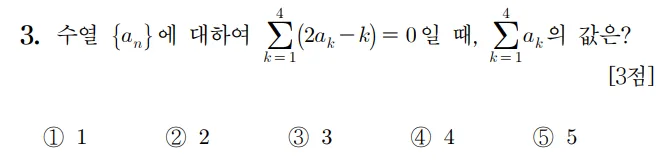
풀이


풀이


풀이


풀이


풀이



풀이



풀이


선택1. 확률과 통계
5지선다형

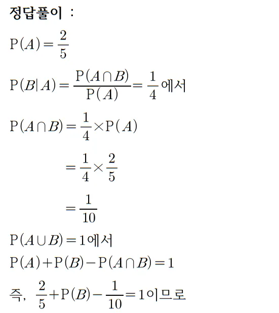
풀이


풀이



풀이


풀이


풀이



풀이



단답형

풀이



풀이



선택2. 미적분
5지선다형

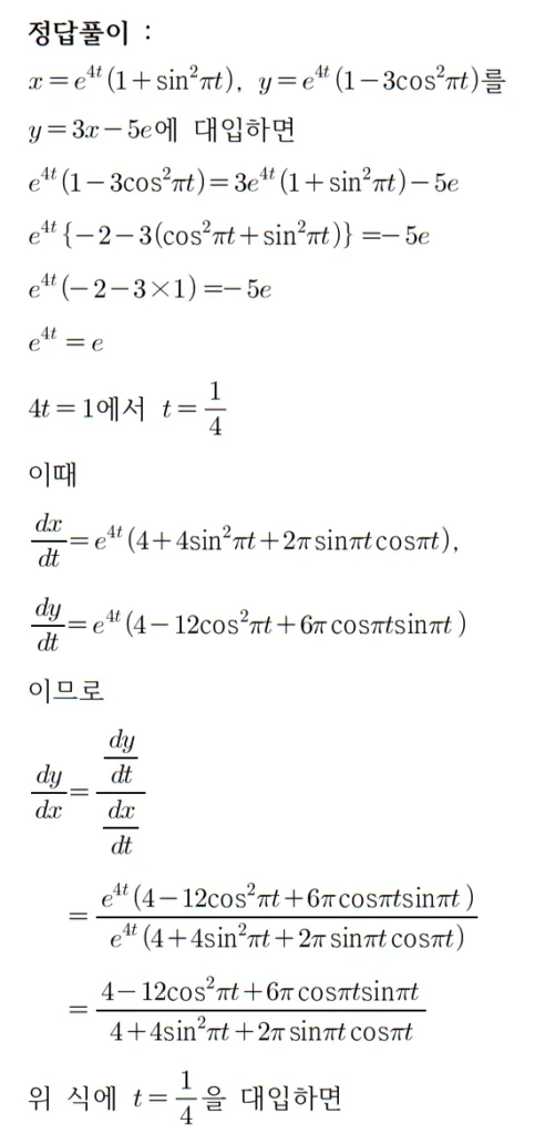
풀이


풀이



풀이



풀이



풀이



풀이



단답형

풀이




풀이




선택3. 기하
5지선다형

풀이


풀이


풀이


풀이



풀이




풀이




단답형

풀이




풀이



